
NúMeros Irracionales .
NúMeros Irracionales .
Operaciones entre números racionales .
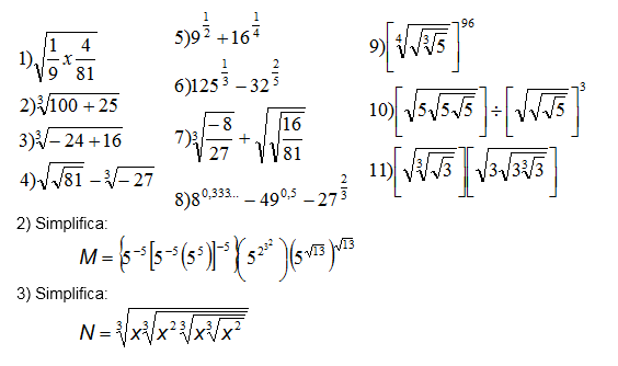
Ejercicios numeros-racionales-y-reales-4c2baa .
Radicación de Números en Q - ppt descargar .
FRACCIONES: SUMA, RESTA, MULTIPLICACION, DIVISION ... .
Numeros racionales .
Operaciones combinadas de números enteros - YouTube .
NÚMEROS ENTEROS Y DECIMALES - ppt video online descargar .
Ejercicios numeros-racionales-y-reales-4c2baa .