
Integral of 1/(1-x)^2 - YouTube .
Integral of 1/(1-x)^2 - YouTube .
How to find the integral of 1/x^3sqrt (x^2-1) - Quora .
Finding the antiderivative of 1/x^2 – Calculus Coaches .
Ex 7.5, 6 - Integrate 1 - x2 / x (1 - 2x) - Class 12 - Ex 7.5 .
Integration of 1 / (1-x^2) dx using partial fraction ... .
Integral 2. x/x+1 por cambio de variable - YouTube .
Integral of 1/(1-x^2) (partial fraction decomposition ... .
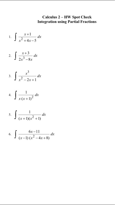
Solved: Integral X + 1/x^2 4x -5 Dx Integral X + 3/2x^3 ... .
Integral 1/(x²+ax) 1/(x²+2x) 1/(x²+x) Stammfunktion - YouTube .
“Prove” 0 = 1 Using Calculus Integration By Parts – Mind ... .
How do you integrate int 2/((1-x)(1+x^2)) dx using partial ... .
Integral 1/x^3 dx [Cálculo 2] - YouTube .
Integral of x^2/(1+x^2) - YouTube .
Solved: Evaluate The Integral X-3/(x2 + 2x + 4)2 Dx Select ... .
Integration of 1 /(x^2- a^2) dx and its application - YouTube .
Integral of 1/(1+x^2) (substitution) - YouTube .
05 integral 1/(x^(2))dx - YouTube .
Misc 33 - Definite integral |x - 1| + |x - 2| + |x - 3| dx .
Solved: If F(x) = Integral (1/x^2 - 2) Dx, Find F(x) So Th ... .
Ex 7.6, 18 - Integrate e^x (1 + sin x / 1 + cos x) - Teachoo .
Solved: Evaluate The Following Integrals Integral 1/1 + Ro ... .
How do you integrate 1/((x^2) (sqrt (1-x^2))? | Socratic .
Solved: Integral^2_1 X^3 + 4x^2 + X - 1/x^3 + X^3 + X^2 Dx ... .
Integral of sqrt(1+x^2) (substitution + by parts) - YouTube .
integrate - 0 to (pi)/2 {(x+sinx)/(1+cosx)} - Math ... .
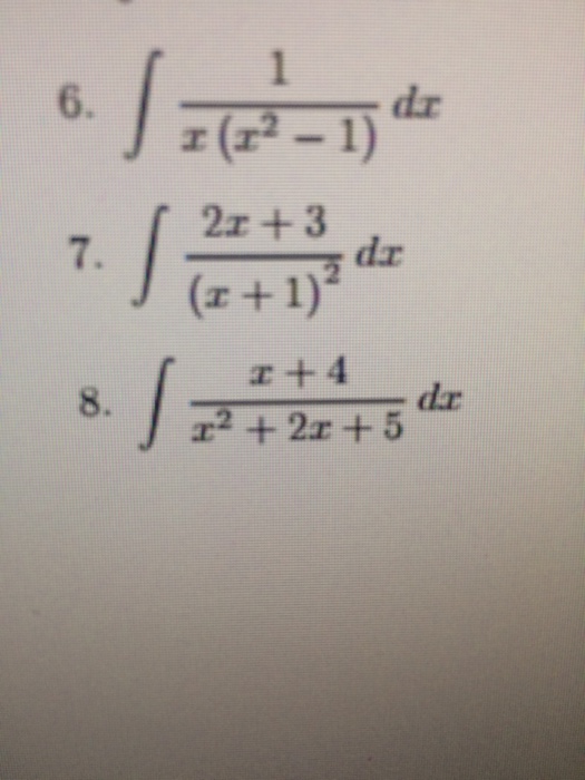
Solved: Integral 1/x (x^2 - 1) Dx Integral 2x + 3/(x + 1 ... .
Integral Dx X 1 Related Keywords - Integral Dx X 1 Long ... .
Integrate 1/ X 2-4 .
Solved: Integrate Integral X/1 + X^2 Dx Integral 1/1 + Y^2 ... .
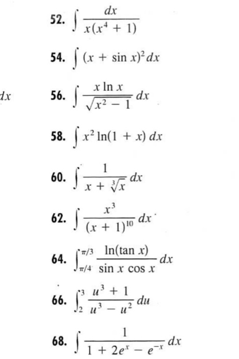
Solved: Integral Dx/x(x^4 + 1) Integral (x + Sin X)^2 Dx I ... .
How to integrate 1/sqrt(x^2+1) - YouTube .
Integral of x^3/(1+x^2) - YouTube .
Misc 24 - Integrate root x2+1 [ log (x2 + 1) - 2 log x / x4 .
Solved: Integral X Sin X^2 Cos^8 X^2 Dx Integra_0^pi (1 ... .
Ex 7.4, 2 - Integrate 1 / root 1 + 4x2 - Class 12 NCERT ... .
integration - $\int^\infty_{-\infty} x \exp\{ -\frac{1}{2 ... .
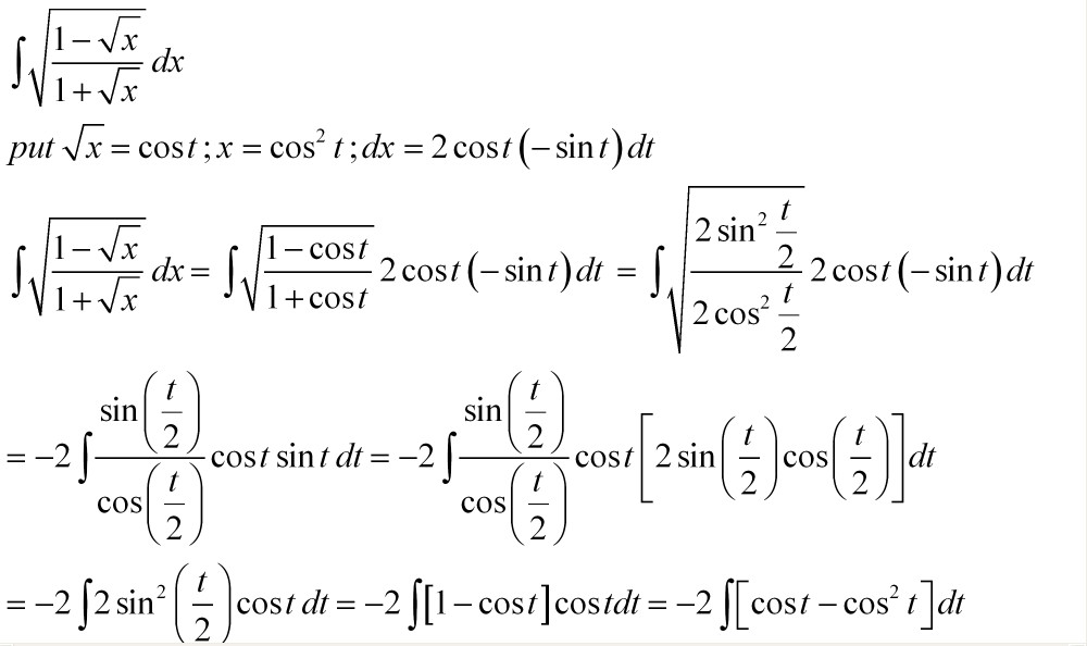
mixture: integral of sqrt{[1-sqrt(x)] / [1+sqrt(x)]} .
Find the integral of x*arcsin(x) / sqrt [ 1- square(x ... .
Geneseo Math 222 01 Integration by Parts 2 .
Ex 7.5, 3 - Integrate 3x - 1 / (x - 1) (x - 2) (x - 3 ... .
Solved: Integral E^2x/e^2x + 1 Dx Integral Sin X/cos^4 X D ... .
Solved: Solve: Integral (1 + Cos (x)/x + Sin (x)) Dx Integ ... .
Solved: Evaluate The Integral. Integral Cos X/1 + Sin X Dx ... .
Solved: Determine F'(x) When F(x) = Integral X^2 5 4 Root ... .
Improper Integrals: Example 3: 1/(1+x^2) - YouTube .
Solved: Integral 1/(x^2 - 6x + 34)^3/2 Dx Integral X^4 + 2 ... .
Solved: Integrate: Integral (x + 2)e^x Dx Integral X/squar ... .