
Examen resuelto tema 4: "el átomo". Física y Química 3ºESO .
Examen resuelto tema 4: "el átomo". Física y Química 3ºESO .
FISICA Y QUIMICA PARA ESTUDIANTES: diciembre 2011 .
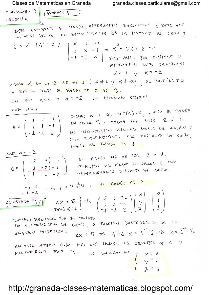
Clases Online de Matematicas, Fisica y Quimica: Examen ... .
FÍSICA Y QUÍMICA 2 ESO EXXI IES MARIANO BAQUERO: FISICA Y ... .
FÍSICA Y QUÍMICA 1º BAC | COSAS DE CIENCIA... Física y ... .
Programación Ciencias de la Naturaleza 2º ESO. Curso 2015-16 .
Examen estática 4º ESO B - resuelto .
FISICA Y QUIMICA PARA ESTUDIANTES: diciembre 2010 .
Examen resuelto tema 4: "el átomo". Física y Química 3ºESO .
Libro física y química 4ºeso cidead .
VILLABLANCA: EXAMEN FINAL MATEMÁTICAS 3º ESO RESUELTO .
Examen resuelto tema 4: "el átomo". Física y Química 3ºESO .
INNOBATOR - FÍSICA Y QUÍMICA 2017/2018: QUIMICA 2º ... .
FISICA Y QUIMICA PARA ESTUDIANTES: 4º ESO Examen .
Ejercicios de "Movimiento" - 2º ESO A - Pedro Callealta ... .
Clases Online de Matematicas, Fisica y Quimica: Examen ... .
Hermoso Fisica Cuarto Eso Galería de imágenes . Fisica Y ... .
Examen matemáticas radicales y ecuaciones 4º eso .