
Lengua Castellana - IES Don Bosco .
Lengua Castellana - IES Don Bosco .
Limites y funciones - Examen - 2009 - Andalucia - Docsity .
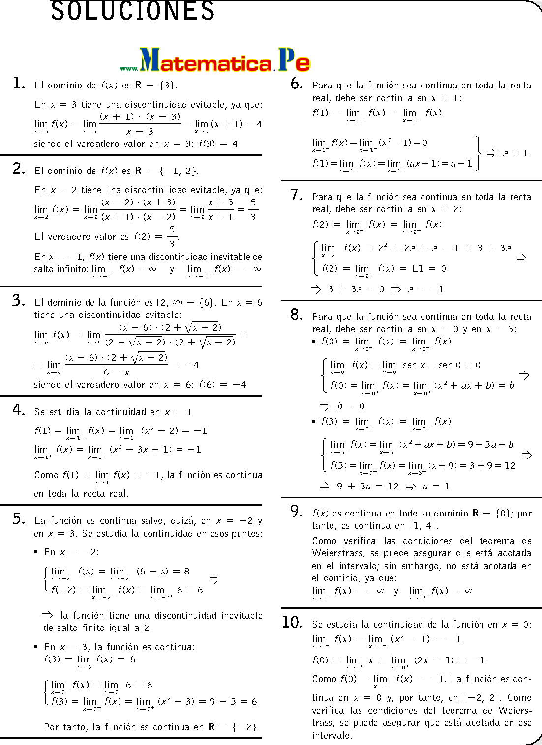
LÍMITES Y CONTINUIDAD DE FUNCIONES EJERCICIOS RESUELTOS ... .
Ciencias de la naturaleza 1 ESO | Examen tema 3: Los seres ... .
EXAMEN UNIDAD 1. LOS SERES VIVOS by Juan Carlos del ... .
Exámenes 4º A | IES RÍO AGUAS .
mates - Exámenes resueltos. Matemáticas II .
Ecuacion y funcion logaritmica - Matematica 1 - Examen ... .
Lengua Castellana - IES Don Bosco .
Download free software Apuntes Matematicas 3 Eso Pdf ... .
EXAMEN RESUELTO: Áreas, perímetros y gráficas ... .
Download free software Solucionario Matematicas 3 Eso ... .
Ejercicios resueltos - Matemáticas 1º Bachillerato .
Lengua Castellana - IES Don Bosco .
1º BACHILLERATO | LA CASA DE GAUSS .
Boletin nº 1 mate 4º eso radicales .
Examen lengua castellana .
Mates y TIC - Maths and ICT » Blog Archive » Repaso examen ... .
Lengua Castellana - IES Don Bosco .
Resumen formulas en Matemática para bachillerato 2015 .
Lengua Castellana - IES Don Bosco .
3er examen química i pdf .
Segundo Y Tercer ciclo primaria - Secundaria (ESO ... .
CUADERNO REPASO LENGUA 1º ESO IES POETA VIANA IMAGEN ... .
Funciones - Examen - 2010 - Andalucia - Docsity .
biologia2bachcamp: TEMA 5. 1º ESO. LA TIERRA. UN PLANETA VIVO .
MatemáTICas: 4º ESO (Opción B) .
Ejercicios Resueltos Matematicas 1 Bachiller Ccss Pdf ... .
1 eso verano10 .
TRIGONOMETRIA EJERCICIOS RESUELTOS DE SECUNDARIA ... .
Ejercicios Resueltos Matematicas 1 Bachiller Ccss Pdf ... .
Recursos Educativos de Secundaria: Unidad 1 de Biología y ... .
Repaso y evaluación 2º eso .
Función cuadrática. .
Estoy en ello...: Corrección examen 3ª evaluación ... .