
Resultado de imagen para ejercicios de energia cinetica y ... .
Resultado de imagen para ejercicios de energia cinetica y ... .
Ejercicios de energía - FisicaPractica.Com .
Ejercicios resueltos-de-energia-potencial-y-cinetica(1) .
EJERCICIOS RESUELTOS DE ENERGIA CINETICA, ENERGIA ... .
CHOQUE ELÁSTICO E INELASTICO - EJERCICIOS RESUELTOS .
Ejercicios de energia potencia y energia cinetica .
Física Energía. - ppt video online descargar .
Ejercicios de energia potencia y energia cinetica .
Ejercicio de trabajo y energía cinética 9 - YouTube .
Energía y trabajo 07 energía cinética ejercicio 03 - YouTube .
EJERCICIOS DE ENERGÍA MECÁNICA ENERGÍA CINÉTICA 1 .
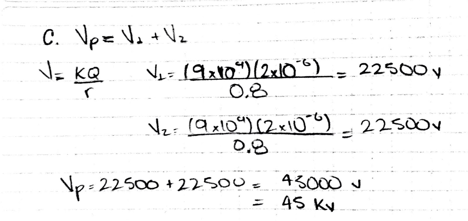
GUÍA DE EJERCICIOS: POTENCIAL ELÉCTRICO Y ENERGÍA ... .
Energía .