
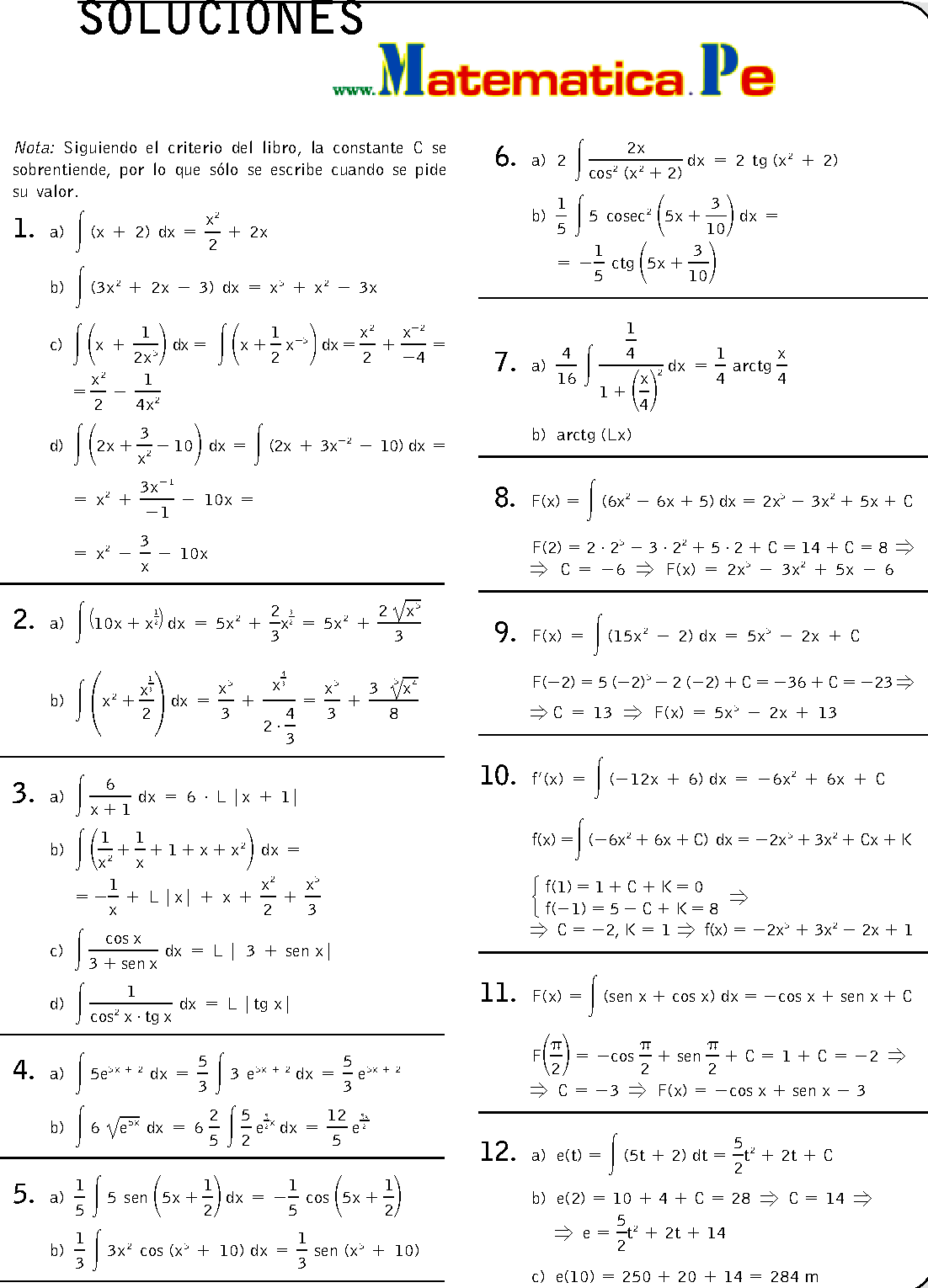
Jcn15-16: 1º de Bachillerato: Ejercicios resueltos de límites. .
Jcn15-16: 1º de Bachillerato: Ejercicios resueltos de límites. .
Más mates - IGV: Ejercicios de radicales del libro ... .
Ejercicios resueltos - Matemáticas 1º Bachillerato .
DISTRIBUCIONES UNIDIMENSIONALES Y BIDIMENSIONALES ... .
Razonamiento Lógico Matemático Ejercicios Resueltos « Blog ... .
Ejercicios resueltos - Matemáticas 2º Bachillerato .
90502353 1º-eso-matematicas-ejercicios-resueltos-completo-1 .
Jcn15-16: 1º de Bachillerato: Ejercicios resueltos de límites. .
Matemáticas - 1º Bachillerato .
Ejercicios matematicas 1 Bachillerato Trigonometria .
DESCARGAR LIBRO DE MATEMÁTICAS RESUELTO (PRIMERO DE ... .
PROBABILIDAD CONDICIONADA EJERCICIOS RESUELTOS MATEMATICAS ... .
Mejores 9 imágenes de Logaritmos en Pinterest | Ejercicios ... .
44167800 matematicas-resueltos-soluciones-numeros-reales ... .
Jcn15-16: 1º de Bachillerato: Ejercicios resueltos de límites. .
Ejercicios Resueltos Matematicas 1 Bachiller Ccss Pdf ... .
Jcn15-16: 1º de Bachillerato: Ejercicios resueltos de límites. .
44167800 matematicas-resueltos-soluciones-numeros-reales ... .
Repaso de matemáticas para 1º Bachillerato (vadenumeros.es ... .
Ejercicios Resueltos Matematicas 1 Bachiller Ccss Pdf ... .
Matemáticas 1 bach cn anaya. Solucionario .
Recursos para aprender y repasar Matemáticas en Bachillerato .
44167800 matematicas-resueltos-soluciones-numeros-reales ... .
Libro de Matemáticas 2018 Resuelto - Solucionario libro de ... .
MATEMÁTICAS 2º BACHILLERATO CCSS | Matemáticas Cossio .
Ejercicios resueltos de matemáticas de 2º de bachillerato .
MATEMATICA PAI-DIPLOMA: MATEMATICA 3ERO BACH 2015-2016 .
Ejercicios Resueltos Matematicas 1 Bachiller Ccss Pdf ... .
1º BACHILLERATO. TEMA 3: ÁLGEBRA | Matemáticas sin Complejos .
Aprobar matemáticas profesor10: Operaciones con radicales ... .
Apuntes y Examenes Maravillas: [Apuntes] Solucionario ... .
LA RECTA EN EL PLANO EJERCICIOS RESUELTOS MATEMATICAS 1 ... .