SEO NEGATIVO

Sí, te estamos haciendo SEO Negativo (100% gratis y efectivo)

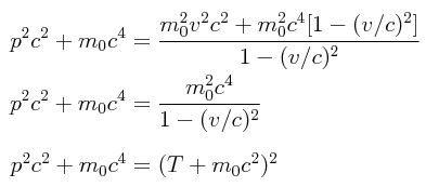
Energia Cinetica Relativista

Educatina - Trabajo y Energía Relativistas .

La equivalencia entre masa y energía – Lidia con la Química .

LA TEORÍA DE LA RELATIVIDAD ESPECIAL - ppt video online ... .

ENERGÍA CINÉTICA EN LA TEORÍA DE LA RELATIVIDAD ESPECIAL .

E=mc2--> Cantidad de movimiento: E=mc2--> Cantidad de ... .

Teoria della relatività ristretta di Einstein .

Energia relativista - YouTube .

FISICA RELATIVISTA Energia cinetica BACHILLERATO ... .

B Dilatación del Tiempo - ppt descargar .

octubre 2016 ~ Beautiful places of Barcelona and Catalonia .

Deducción de la ecuación del efecto Compton (UNI) - El ... .

Semana 2: Dinámica relativista - ppt descargar .

Semana 2: Dinámica relativista - ppt descargar .

B Dilatación del Tiempo - ppt descargar .

energia cinetica relativista y segunda ley de newton by ... .

Energía potencial gravitatoria, energía cinética y la ... .

FÍSICA MODERNA - El Sapo Sabio .

Energía potencial gravitatoria, energía cinética y la ... .

Relatividad especial: constancia de la velocidad de la luz ... .

Zibaldone Scientifico: 80. Relazione Massa Energia .

marzo | 2010 | ·:txisko:· .

ISAFIS - Cuantica Relativista .

DETERMINACION DE LA NATURALEZA DE LA MATERIA - ppt video ... .

La velocidad de la luz, paradojas, relatividad… - Ciencia ... .

Capítulo 38A - Relatividad - ppt descargar .

Capítulo 38A - Relatividad - ppt descargar .

ENERGÍA CINÉTICA EN LA TEORÍA DE LA RELATIVIDAD ESPECIAL .

Energía potencial gravitatoria, energía cinética y la ... .

Energía cinética - Wikipedia, la enciclopedia libre .

UNIDAD II. ESTÁTICA UNIDAD III. CINEMÁTICA UNIDAD IV ... .

Física : Blog de Emilio Silvera V. .

El láser y sus aplicaciones (página 2) - Monografias.com .

De que se trata la teoría de la Relatividad de Einstein ... .

Teoría de la Relatividad - Taringa! .

Applicazioni industriali delle radiazioni ionizzanti - ppt ... .

Energía POTENCIAL GRAVITATORIA, Energía CINÉTICA y la ... .

La Mecánica Cuántica: La Mecánica Cuántica Relativista .

Beautiful places of Barcelona and Catalonia .

FÍSICA RELATIVISTA - El Sapo Sabio .

Que es la Energía Cinetica - Taringa! .

Fisica cuantica y relatividad 37 .

La Mecánica Cuántica: Corrección perturbativa relativista .